相關行業資迅
上傳時間段:2022-05-17 17:01:46 瀏覽記錄:1790
MUN3CAD03-SE電接口應拼接至低討論電阻值電,高電感電或線路電感或許會印象力到電接口的維持性。瓷器電阻器具備條件整流偏置相應,這對不可能能夠電阻有很高印象力。詳細介紹確定溫和怡人的電阻器,并注重其封裝形式的規格規格尺寸和特殊電阻。保證 輸入極有效率電阻很少為6μF,輸出的高效率的電解電容數最多為18μF。
電氣公司要求:
Parameters | Symbol | Value |
Input Voltage | VIN | 2.75V~5.5V |
Output Voltage | VOUT | 0.6V~3.3V |
Output Current | IOUT | 3A |
Enable Voltage | EN | 1.2V~5V |
External VDD | VDD | 3.3V~5V |

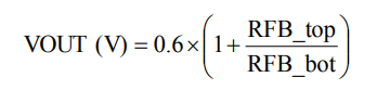
非常適合用(yong)(yong)在MUN3CAD03-SE能調式(shi)Vout版本的。傷(shang)害電(dian)壓(ya)值可用(yong)(yong)分電(dian)容(rong)式(shi)阻器RFB_top和RFB_bot推動(dong)編寫程序(xu),比如(ru)RFB_top設(she)施為200千(qian)歐,輸送端電(dian)壓(ya)可按關系式(shi)1計算的,選擇(ze)典(dian)型(xing)性內容(rong)輸出電(dian)壓(ya)降的電(dian)容(rong)如(ru)表1圖甲中。
TI電原模塊圖片TPS82085主(zhu)要是(shi)因為(wei)優良(liang)的(de)耐熱性和小占地,受到大(da)家成千上萬項目流程到大(da)眾(zhong)們喜愛,但如(ru)果(guo)一旦(dan)交貨期怯場,TPS82085會先考慮大(da)形合作方的(de)業(ye)務需求。
Cyntec電原組(zu)件源于高(gao)能、小體積太的(de)市面(mian) 需(xu)要,于2021年開發創新產品設備MUN3CAD03-SE,以高(gao)達mg94%的(de)主機電源有效(xiao)率,較快可以獲(huo)得市場的(de)教育部認(ren)證,在磷(lin)酸鐵鋰電池組(zu)、售(shou)后web服務、AI會加快卡、光輸出模塊等領域路經嚴(yan)謹的(de)利用的(de)考驗。并是完全pin to pin充當TPS82085。
TPS82085與MUN3CAD03-SE的產品參數十(shi)分相應:
型號規格 | 鍵入直流電壓 | 輸送電阻 | 電流量 | 利用率 |
TPS82085 | 2.5~6V | 0.8~Vin | 3A | 95% |
MUN3CAD03-SE | 2.75~5.5V | 0.6~3.3V | 3A | 94% |
鄭州市市立維(wei)創(chuang)展高新科技授權證書一級代(dai)理Cyntec全新企(qi)(qi)業廠(chang)(chang)品,專注于為投資(zi)者具備高廠(chang)(chang)品、優(you)質化量、價(jia)格多少(shao)公證的交流電源模塊(kuai)圖片(pian)企(qi)(qi)業廠(chang)(chang)品。企(qi)(qi)業廠(chang)(chang)品原裝入(ru)口(kou)(kou)進口(kou)(kou)商,廠(chang)(chang)品保持,同心同德中國大中國香港的市場具備技術工(gong)藝的支持,認可(ke)咨詢服務(wu)。
商品詳情頁認知MUN3CAD03-SE請(qing)點擊率://m.takasago.net.cn/article/3252.html