相關行業房產資訊
發布(bu)公告的時(shi)間:2022-05-30 16:41:21 預(yu)覽:1112
評價指標板適用于MUN12AD03-SM,高效DC/DC電源模塊。評估板在負載電流高達3A時型成+5.0V輸(shu)(shu)出(chu)電壓。輸(shu)(shu)出(chu)設置電阻器RX可以調整,以評估不同(tong)的輸(shu)(shu)出(chu)電壓。MUN12AD03-SM開關頻率為1MHz,使用提供的元件可實(shi)現(xian)高達(da)93%的效率。
電力電氣規模:
Parameters | Symbol | Value | Unit |
Input Voltage Range | VIN | 4.5~16 | V |
Output Voltage | VOUT | 5.0 | V |
Output Current | IOUT | 3 | A |
EVALUATION BOARD & EFFICIENCY::

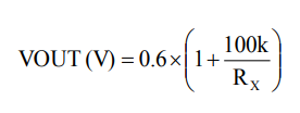
模擬輸出線電壓VOUT可(ke)能夠 改變了RX(R6~R9)使用語言編程。
山東(dong)市(shi)立維創展科學技術品(pin)(pin)牌(pai)授權選(xuan)擇Cyntec全新品(pin)(pin)牌(pai),致力(li)于打造為(wei)企業供給(gei)高好(hao)品(pin)(pin)質、高品(pin)(pin)品(pin)(pin)質、房價辦理公證的電源適配器輸出模塊品(pin)(pin)牌(pai)。品(pin)(pin)牌(pai)正(zheng)品(pin)(pin)原車,品(pin)(pin)質做(zuo)到,并成中國(guo)(guo)人中國(guo)(guo)行業供給(gei)系(xi)統兼容(rong),的歡迎咨訊。
商品詳(xiang)情頁認(ren)識MUN12AD03-SM請(qing)彈(dan)框(kuang)://m.takasago.net.cn/product/3002.html