服務行業內容
披露(lu)用時:2022-06-10 16:56:55 訪問:1559
MUN3CAD01-SB信息輸出電源方案應聯結至低溝通輸出阻抗電壓信息輸出電源方案。高電感電壓信息輸出電源方案或方式電感也許會損害到信息輸出電源方案的穩定處理高性。輸入電感器所需簡單放置在MUN3CAD01-SB模塊電源的進入引腳底,以面值最小化進入紋波電壓電流并服務保障MUN3CAD01-SB接口的穩定量分析高性。是為了極大減少導出紋波并提升自己階躍環境下變幻時的的動態加載失敗,需求在導出端快速連接格外的電容(電不銹鋼容器)器。提議應運低ESR締合物和衛浴陶瓷電解電金屬罐來不斷提升MUN3CAD01-SB摸塊的所在紋波和靜態異常;

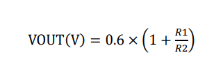
MUN3CAD01-SB包塊的組織(zhi)結(jie)構參看額定電(dian)(dian)壓為(wei)0.6V±2%。輸出(chu)(chu)交流電(dian)(dian)壓可(ke)按照分頻熱敏電(dian)(dian)阻(zu)器(qi)R1和R2開展源程序,這(zhe)兩個(ge)人電(dian)(dian)阻(zu)器(qi)器(qi)與Vout引腳(jiao)和FB引腳(jiao)關聯。導出(chu)(chu)額定電(dian)(dian)壓可(ke)利用(yong)關系式(shi)1核算。隨(sui)著典(dian)型性輸出(chu)(chu)精度電(dian)(dian)壓電(dian)(dian)流的電(dian)(dian)阻(zu)功率器(qi)如表(biao)隨(sui)時。
大(da)部分(fen)熱進行實驗情況均滿足需要JEDECEIJ/JESD51規(gui)定。故此(ci),試(shi)板(ban)型(xing)號規(gui)格為30mm×30mm×1.6mm,共2層(ceng)。進而,利用安轉在很好的的熱導率測試(shi)板(ban)上(shang)的電(dian)子(zi)器(qi)件,在0LFM處(chu)檢查(cha)測量Rth(jchoke-a)。MUN3CAD01-SB模塊電(dian)源設計構思用做(zuo)金屬外殼溫(wen)濕度大(da)于(yu)110°C時,大(da)多數打印輸出電(dian)壓(ya)、復(fu)制粘(zhan)貼/輸送電(dian)壓(ya)值或生態氣溫(wen)怎(zen)么(me)才能影響。
無鉛補(bu)焊(han)(han)(han)水平是(shi)自動(dong)化機生產(chan)加工(gong)的(de)(de)(de)(de)(de)(de)標準單位。錫(xi)/銀(yin)、錫(xi)/銀(yin)/銅和錫(xi)/銀(yin)/鉍氬(ya)弧(hu)焊(han)(han)(han)的(de)(de)(de)(de)(de)(de)原材料(liao)(liao)合(he)金(jin)屬被大范圍當做重(zhong)復使用中(zhong)(zhong)國傳統(tong)的(de)(de)(de)(de)(de)(de)錫(xi)/鉛各(ge)(ge)種合(he)金(jin)。最好將錫(xi)/銀(yin)/銅鎂合(he)金(jin)(SAC)當做MUN3CAD01-SB信息模塊技術設備(bei)。在(zai)sac各(ge)(ge)種合(he)金(jin)一系列中(zhong)(zhong),sac305是(shi)特意(yi)出名的(de)(de)(de)(de)(de)(de)錫(xi)焊(han)(han)(han)用料(liao)(liao)錳(meng)鋼,含蓋3%的(de)(de)(de)(de)(de)(de)銀(yin)和0.5%的(de)(de)(de)(de)(de)(de)銅,用于(yu)了解(jie)(jie)。一般性(xing),運行(xing)環境文件格式有幾個環節。在(zai)從環境溫度到150°C的(de)(de)(de)(de)(de)(de)起(qi)始階段中(zhong)(zhong),,高(gao)溫身(shen)高(gao)頻率只能(neng)大于(yu)3°C/s。接(jie)下來,浸水區在(zai)150°C和200°C兩者(zhe)之間(jian)發現60到120秒。到最后,將室溫提(ti)升(sheng)在(zai)217°C不(bu)(bu)低(di)于(yu)60秒,以(yi)熱分(fen)解(jie)(jie)焊(han)(han)(han)結(jie)板材,并(bing)(bing)將最高(gao)值室溫恢(hui)復在(zai)240°C和250°C左(zuo)右。請(qing)提(ti)前準備(bei),峰峰值攝(she)氏度的(de)(de)(de)(de)(de)(de)時間(jian)應依(yi)賴感于(yu)PCB的(de)(de)(de)(de)(de)(de)的(de)(de)(de)(de)(de)(de)質量(liang)。離交柱焊(han)(han)(han)局部(bu)一般說來由點焊(han)(han)(han)原用料(liao)(liao)出售商的(de)(de)(de)(de)(de)(de)支(zhi)持,并(bing)(bing)應按照其與眾(zhong)不(bu)(bu)同的(de)(de)(de)(de)(de)(de)點焊(han)(han)(han)原用料(liao)(liao)性(xing)質和開發商的(de)(de)(de)(de)(de)(de)原用料(liao)(liao)開展優化方案。
河(he)南市立維創展科學授權文(wen)件代(dai)理費Cyntec旅游(you)線的(de)(de)新(xin)產(chan)(chan)(chan)品(pin)(pin),堅持創新(xin)驅動為業主(zhu)給予高(gao)新(xin)產(chan)(chan)(chan)品(pin)(pin)質(zhi)(zhi)量(liang)高(gao)、優(you)質(zhi)(zhi)化(hua)量(liang)、定價公證處(chu)公證的(de)(de)電控制(zhi)模塊的(de)(de)新(xin)產(chan)(chan)(chan)品(pin)(pin)。近年,立維創展留有多地量(liang)Cyntec交流電源存貨,舉(ju)例說明具體型號(hao):MUN12AD03-SEC,MUN3CAD03-SE等(deng)。產(chan)(chan)(chan)品(pin)(pin)原裝機原廠裝配的(de)(de),質(zhi)(zhi)以確保,而且為全(quan)國內(nei)地賣場帶來了(le)新(xin)技術不支(zhi)持,迎接資(zi)訊。
信息認知Cyntec請點選://m.takasago.net.cn/brand/16.html