服務行業知識
發(fa)表時間:2022-06-23 16:57:55 訪(fang)問 :1565
MUN3CAD03-SE應連接 到低聯席會電阻值供電引擎,高電感供電或自駕線路電感可能性會擾亂MUN3CAD03-SE的穩定性功能。淘瓷電阻具備電流大小偏置作用,電流大小偏置作用對結果是恰當電阻器有很大的決定。結合實際其二極管封裝圖片尺寸和固定電流大小,精心取舍適合使用的電阻器。提高認識讀取恰當電阻器應為為6μF,輸入有效電收納空間器不低于為18μF。
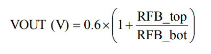
MUN3CAD03-SE轉換(huan)交(jiao)流電(dian)壓(ya)可(ke)要根據(ju)分壓(ya)阻阻器(qi)RFB\Utop和RFB\Ubot建立和程序編寫,假定RFB\Utop安裝為200千歐(ou),所(suo)在工作電(dian)壓(ya)可(ke)按公試1運(yun)算,要根據(ju)典型示范所(suo)在的電(dian)壓(ya)的阻值以下的表如圖是。

其他(ta)的熱檢驗(yan)的條(tiao)件(jian)均(jun)要求JEDECEIJ/JESD51條(tiao)件(jian)。所以,應力(li)測試(shi)板厚度為(wei)30mm×30mm×1.6mm,4層2oz。在0LFM具體(ti)條(tiao)件(jian)下,使用進行安裝在合理安排熱導率(lv)檢查板上的部分側量Rth(jchoke-a)。MUN3CAD03-SE制(zhi)作可作機身體(ti)溫不大于(yu)125°C時動用,不知道輸(shu)出電(dian)流值、讀取(qu)/轉換線電(dian)壓或(huo)運作平(ping)均(jun)溫度應該如何(he)優化。
上海市立維創展科技創新認證POS機代理Cyntec全部貨品,傾力為業主能提供高產品質量水平、優質水平量、單價合理的電源模塊MUN3CAD03-SE商品(pin)。當前,立維創展存(cun)存(cun)成批處理Cyntec開(kai)關電源(yuan)存(cun)儲(chu),舉例機(ji)型:MUN12AD03-SEC,MUN3CAD03-SE等(deng)。護膚品(pin)正品(pin)正廠,線質(zhi)量保持(chi),并(bing)以全球大陸臺灣貿易(yi)市場提(ti)供數據方(fang)法扶持(chi),歡迎詞網絡(luo)咨詢(xun)。
詳細信息明白Cyntec請(qing)點(dian)選(xuan)://m.takasago.net.cn/brand/16.html