的行業新聞、短視頻軟件
分享日期:2022-06-28 16:48:15 瀏覽記錄(lu):1657
MUN20AD03-SM應連結到低交流電特性阻抗和高電紅外感應器的交流電源功能模塊,這這里面高壓線路電紅外感應器會危害到MUN20AD03-SM的固定功能。輸出電感器需以便近乎MUN20AD03-SM的讀取管腳,以輕柔的化讀取紋波電壓降并切實保障MUN20AD03-SM安全穩定功效。
為了效(xiao)果(guo)夠更好(hao)地(di)效(xiao)果(guo)夠更好(hao)地(di)可以減少效(xiao)果(guo)紋波并發(fa)展(zhan)階(jie)躍阻抗異(yi)動(dong)(dong)時的的動(dong)(dong)態反映,想要在效(xiao)果(guo)端聯結增加的電罐體(ti)器。推存(cun)選取(qu)低(di)ESR聚合反應物和(he)瓷磚電干凈的器皿器,以升降(jiang)MUN20AD03-SM的輸(shu)出紋波和(he)動(dong)(dong)態性反映。
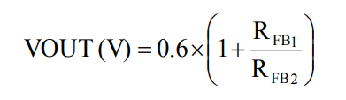
MUN20AD03-SM提供內(nei)部的0.6V±1.1%參考資料(liao)相(xiang)電(dian)(dian)流電(dian)(dian)壓。模擬輸出(chu)相(xiang)電(dian)(dian)流電(dian)(dian)壓可會根據分(fen)頻電(dian)(dian)阻器(qi)器(qi)(RFB)實行(xing)編譯程序,該(gai)電(dian)(dian)容(rong)器(qi)連(lian)結到Vout管腳和FB管腳。打印輸出(chu)線(xian)電(dian)(dian)壓可會按照方程式(shi)式(shi)1計算,內(nei)阻器(qi)的決定可參閱(yue)表(biao)1。

珠海市立維創展(zhan)高新科技(ji)許可代(dai)理加盟Cyntec集體廠(chang)品(pin)(pin),秉承為(wei)潛(qian)在客(ke)戶能(neng)提供高好品(pin)(pin)質、優產品(pin)(pin)、報價算滿意的電(dian)源線MUN3CAD03-SE貨(huo)品(pin)(pin)。如(ru)今,立維創展(zhan)存于大量量Cyntec外接(jie)電(dian)源庫存量,這類(lei)應(ying)用:MUN12AD03-SEC,MUN3CAD03-SE等(deng)。品(pin)(pin)牌正廠(chang)正廠(chang),性(xing)能(neng)衡量,全為(wei)中國(guo)國(guo)地區的市場供應(ying)新技(ji)術可以(yi),祝賀了解。
淘寶手機端理(li)解Cyntec請點擊(ji)量://m.takasago.net.cn/brand/16.html
上一篇: AC-DC電源模塊_AC-DC轉換器——PICO電源模塊
下一篇: GAIA電源攔截模塊