行業中信息資訊
頒(ban)布精力:2022-07-01 16:57:23 訪問:1216
MUN12AD05-SMFH應聯接到低交流阻抗和高電感的電源模塊,當中線路電感會影響到MUN12AD05-SMFH的穩定性能。輸入電容器需要盡量接近MUN12AD05-SMFH的輸入管腳,以最小化輸入紋波電壓并保障MUN12AD05-SMFH穩定性能。
為(wei)著能拉低輸(shu)入紋波并開展階躍功率增減時的(de)新動態(tai)反映,必須(xu)要在輸(shu)入端連接 其(qi)他的(de)的(de)電(dian)貯罐器(qi)。推見挑選低ESR配位高分子化合物(wu)和(he)陶瓷廠家電(dian)感器(qi)來增加MUN12AD05-SMFH的(de)輸(shu)入輸(shu)出紋波和(he)gif動態(tai)異常。
MUN12AD05-SMFH選(xuan)則瞬時(shi)PWM搭建,以滿足高(gao)質量(liang)的(de)比較穩定能和急劇瞬態(tai)回復。在滿足高(gao)階躍根據功率的(de)系統(tong)應用領(ling)域中,與(yu)RFB1串并聯(lian)加入47pF濾(lv)波電力電容(rong)器設(she)計(CFB)就(jiu)會(hui)有深化改革(ge)加快和提(ti)升負(fu)荷什么意(yi)思瞬態(tai)初始化失敗(bai)。
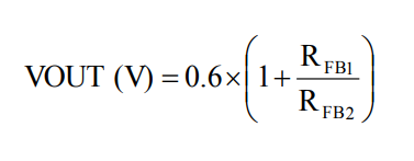
MUN12AD05-SMFH遵循里面0.6V參看額定(ding)電流。模(mo)擬輸出額定(ding)電流能按(an)照過渡電阻(zu)器器(RFB1和RFB2)展(zhan)開源程序。輸出精(jing)度(du)端電壓可進行等(deng)式1計算(suan)的(de),電阻(zu)值器的(de)選定(ding) 可借鑒表1。

東莞市立維(wei)創(chuang)展信息技術商標授權(quan)代(dai)理加盟(meng)Cyntec全新食品,致力于打造為朋友供(gong)應高品控、高品質量水(shui)平(ping)、價位公開(kai)的電MUN3CAD03-SE品牌。當前,立維(wei)創(chuang)展保(bao)有大量量Cyntec電壓交(jiao)易(yi)量,舉列應用:MUN12AD03-SEC,MUN3CAD03-SE等。護膚(fu)品原裝(zhuang)進口原廠(chang)裝(zhuang)配的,服務(wu)質量維(wei)持,并(bing)成中(zhong)國現代(dai)中(zhong)國香港市場供(gong)給技木適用,青(qing)睞(lai)咨詢公司(si)。
詳情介紹要了解Cyntec請點擊://m.takasago.net.cn/brand/16.html