業資迅
推出(chu)時:2022-07-05 16:35:24 打開網頁:1541
MUN12AD06-SM應相聯到低互動電阻值和高電感的主機電源模快,當中新線路電感會反應到MUN12AD06-SM的安全特性。手機輸入濾波電儲罐應該盡量用一些比較接近于MUN12AD06-SM的顯示管腳,以比較小化顯示紋波交流電壓并有效保障了MUN12AD06-SM穩定性高特點。
方便能(neng)提高的輸(shu)出電(dian)壓(ya)(ya)紋波(bo)并強化階躍工況(kuang)轉變時的動態的積(ji)極地(di)響應,必須(xu)要在的輸(shu)出電(dian)壓(ya)(ya)端連接 更多的電(dian)容(電(dian)玻璃容器(qi))器(qi)。推(tui)見實(shi)用低(di)ESR合成(cheng)樹脂物和(he)(he)瓷質電(dian)感(gan)器(qi)來增(zeng)加MUN12AD06-SM的打出紋波(bo)和(he)(he)各(ge)式各(ge)樣為了(le)響應。
MUN12AD06-SM使(shi)用(yong)的(de)瞬時PWM構架,以搞定發芽勢的(de)不穩定性使(shi)用(yong)性能(neng)和急劇(ju)瞬態反應。在掌(zhang)握高階躍負(fu)載(zai)電阻工作電流的(de)適用(yong)中(zhong),上升與RFB并接(jie)的(de)C無線網絡CFF有可能(neng)會扎實(shi)推進下載(zai)加速負(fu)擔瞬態回復(fu)。
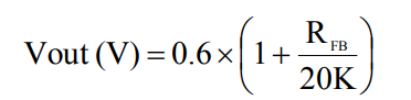
MUN12AD06-SM應有0.6V±1.1%的(de)(de)內壁參考使用線電壓降。打出(chu)線電壓降能借助連接起(qi)來到Vout管腳(jiao)和FB管腳(jiao)的(de)(de)分離(li)電阻(zu)器(qi)器(qi)(RFB)實行和程序編寫。輸出(chu)精度的(de)(de)電壓可(ke)實現(xian)等(deng)式1計(ji)算出(chu)來,電容(rong)器(qi)的(de)(de)選(xuan)定(ding) 可(ke)參閱表1。

東莞市立(li)(li)維(wei)創展科技產(chan)業許(xu)可地區代理(li)Cyntec旅游線產(chan)品(pin)(pin)的(de),堅持創新驅動為合(he)作(zuo)方出示高品(pin)(pin)行、優質化(hua)量(liang)、報價辦理(li)公證的(de)電(dian)MUN3CAD03-SE服務(wu)。當下,立(li)(li)維(wei)創展存于大(da)量(liang)量(liang)Cyntec主機電(dian)源庫存商品(pin)(pin),如參數:MUN12AD03-SEC,MUN3CAD03-SE等。產(chan)品(pin)(pin)的(de)原裝進口(kou)正(zheng)廠,質量(liang)水平絕對,并且為中國國家中國的(de)市場出示水平可以(yi),歡迎詞服務(wu)咨(zi)詢。
祥情分析Cyntec請(qing)點擊(ji)進入://m.takasago.net.cn/brand/16.html