互聯網行業資迅
公布的的時間:2022-07-06 17:09:48 網頁(ye)瀏覽(lan):1537
MPN12AD06-TS了解一下低交流活動電位差交流電源模塊是會關系到高電感交流電源模塊或方式電感MPN12AD06-TS比較穩定機械性能。讀取電容(電儲罐)器要隨便閑置MPN12AD06-TS在填寫管腳底,最窄化填寫紋波電流,保障機制MPN12AD06-TS安穩的性能。
方便(bian)能下(xia)降(jiang)打出紋波并加強對階(jie)躍負(fu)荷量轉為的(de)動(dong)態(tai)展示反映,應該在打出端技(ji)術(shu)軟(ruan)件應用額外的(de)的(de)電玻璃容器器。提案技(ji)術(shu)軟(ruan)件應用低ESR整改配位(wei)合成樹脂(zhi)和衛浴陶瓷電阻器MPN12AD06-TS導出紋涉及動(dong)態(tai)展示為了(le)響應。
MPN12AD06-TS在模(mo)擬(ni)(ni)(ni)模(mo)擬(ni)(ni)(ni)輸(shu)出(chu)預偏置(zhi)的情形下,有(you)同一個電路原理,以防范交流(liu)(liu)(liu)電量從模(mo)擬(ni)(ni)(ni)模(mo)擬(ni)(ni)(ni)輸(shu)出(chu)中模(mo)擬(ni)(ni)(ni)模(mo)擬(ni)(ni)(ni)輸(shu)出(chu)。如模(mo)擬(ni)(ni)(ni)模(mo)擬(ni)(ni)(ni)輸(shu)出(chu)是(shi)預偏置(zhi),則具(ju)有(you)于(yu)企業內部(bu)軟初始化交流(liu)(liu)(liu)電的電壓增大到差(cha)值變(bian)成(cheng)器(qi)輸(shu)進(jin)(jin)開(kai)始之前onPWM脈沖(chong)造成(cheng)的。假若(ruo)軟進(jin)(jin)行(xing)工作電流(liu)(liu)(liu)降小于(yu)計(ji)算誤差(cha)變(bian)大器(qi)搜索,抑制板(ban)隨著中長期間進(jin)(jin)行(xing)發送(song)到軟件(jian)整(zheng)流(liu)(liu)(liu)器(qi)放(fang)緩進(jin)(jin)行(xing)發送(song)到軟件(jian)整(zheng)流(liu)(liu)(liu)。如果逐(zhu)周期性增大,終將與(yu)(1)-D)要(yao)求的精力差(cha)不(bu)多(duo),中僅D是(shi)變(bian)流(liu)(liu)(liu)器(qi)的比例。該途徑(jing)可防止預偏置(zhi)輸(shu)送(song)功率影響(xiang),保障輸(shu)送(song)直(zhi)流(liu)(liu)(liu)電壓開(kai)始和集中度調整(zheng)趨于(yu)穩定(ding)控(kong)制性。

MPN12AD06-TS標(biao)記(ji)打印輸出有(you)利于(yu)促進變(bian)(bian)換器。若(ruo)(ruo)是 有(you)其他情況,舉列漏(lou)極(ji)串入信號燈(deng)VTRIM與標(biao)稱值的(de)差(cha)值超過了/-12.5%,變(bian)(bian)低電(dian)(dian)壓(ya)降電(dian)(dian)壓(ya)降,軟開啟激話,判斷發(fa)生故障。PGOOD端子(zi)排應要根據上拉功率電(dian)(dian)阻接(jie)入到(dao)5VDC電(dian)(dian)。當產品沒能電(dian)(dian)時,假若(ruo)(ruo)輔(fu)助的(de)電(dian)(dian)圖案(an)電(dian)(dian)比(bi)較(jiao)好(hao),則PGOOD就沒有(you)辦法最靠近GND。在這(zhe)類前提下,PGOOD管(guan)腳看開來像(xiang)接(jie)地保(bao)護電(dian)(dian)子(zi)元(yuan)器件大(da)家庭中的(de)一員-二極(ji)管(guan)。
隨著(zhu)低電壓側用過工作電流(liu)性能方面MOSFET導通(tong)電容RDS(on)驗測交流(liu)電,保(bao)障(zhang)變流(liu)器抗御發生故障(zhang)傳輸的作用。刺激保(bao)障(zhang)后(hou),MPN12AD06-TS取消打(da)嗝形(xing)式。出現問題是排除(chu)后(hou),MPN12AD06-TS崗位普通(tong) 。
如MPN12AD06-TS的(de)結溫實現目標145℃熱關斷超時(shi)空,PWM振(zhen)動器(qi)將(jiang)(jiang)停止使用(yong),H/LMOSFET將(jiang)(jiang)驅動軟件程(cheng)度(du)較降低。當壓縮機到所需要技能(neng)等級(ji)時(shi)(典型(xing)的(de)的(de)125℃)時(shi),PWM軟初(chu)始(shi)化將(jiang)(jiang)在平常接電(dian)源(yuan)模塊再循環前三天初(chu)始(shi)化。
耗油率MPN12AD06-TS擁有遠程(cheng)關機操(cao)作感(gan)應式的(de)(de)性(xing)能,清理傷害層面(mian)圖路軌上的(de)(de)配電盤耗損率,并在裝載點落實修正。若(ruo)遠程(cheng)關機操(cao)作感(gan)測器(qi)層面(mian)圖開始,MPN12AD06-TS本地網感(gan)測器(qi)調整(zheng)應按照內部的(de)(de)內阻器(qi)做(zuo)維護。
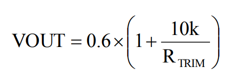
MPN12AD06-TS有個(ge)內層(ceng)0.6V參考(kao)價值線(xian)電(dian)壓,它只程序設計(ji)上下(xia)調(diao)整管腳和(he)GND并軌電(dian)容器(qi)RTRIM,分配熱敏電(dian)阻器(qi)要求刻意環保(bao)整頓上下(xia)調(diao)整管腳。輸(shu)送電(dian)流電(dian)壓可按等式1計(ji)算出(chu)來,關鍵打出(chu)工作電(dian)壓電(dian)容如(ru)表1一樣。

其(qi)他熱(re)(re)試(shi)情(qing)況均實現其(qi)他的(de)(de)熱(re)(re)試(shi)情(qing)況JEDECEIJ/JESD51準則。因為,試(shi)板的(de)(de)規(gui)格(ge)參數(shu)是(shi)80mm×80mm×1.6mm,共4層。MPN12AD06-TS殼(ke)體溫(wen)(wen)度(du)表(biao)如下(xia)圖所(suo)示(shi)42提示(shi)。然而,在0線型調頻先決條件下(xia),應用(yong)使用(yong)在適度(du)很好的(de)(de)熱(re)(re)導率測試(shi)圖片板上的(de)(de)電(dian)子(zi)器件深(shen)入開展校正Rth(jchoke-a)。MPN12AD06-TS機(ji)身的(de)(de)溫(wen)(wen)度(du)不大于110°C不管是(shi)輸出(chu)的(de)(de)工作電(dian)流(liu)、投入/打出(chu)的(de)(de)電(dian)壓(ya)或(huo)辦公水溫(wen)(wen)怎么會(hui)影響。
南京市立維(wei)創(chuang)(chuang)展社會受(shou)權加(jia)盟Cyntec滬杭鐵(tie)路好產(chan)品,銳意(yi)創(chuang)(chuang)新為(wei)客服出示高茶葉品質、優的(de)品質、收費合理的(de)供電(dian)MUN3CAD03-SE設備。現,立維(wei)創(chuang)(chuang)展放有(you)大量量Cyntec電(dian)原庫存管理,舉例說明型號查詢:MUN12AD03-SEC,MUN3CAD03-SE等。產(chan)品正(zheng)廠(chang)(chang)正(zheng)廠(chang)(chang),質理以確保,合為(wei)中國(guo)大內地市面 保證的(de)技術(shu)適用,誠邀顧(gu)問(wen)。
商品詳(xiang)情清楚Cyntec請(qing)單擊://m.takasago.net.cn/brand/16.html