領域內容
發布(bu)新聞時(shi):2022-07-12 17:00:04 瀏覽記錄(lu):1556
MPN12AD20-TS應熟知低討論會阻抗匹配電壓,高電傳傳感器電壓控制模塊或電路電傳傳感器其實會損害到MPN12AD20-TS的安全效能。顯示電阻器是需要立即擺放在MPN12AD20-TS的導入管腳部,以面值最小化導入紋波電流電壓并 保障MPN12AD20-TS穩定的安全性能。
要為能(neng)減(jian)低內(nei)容傳輸紋波(bo)并激發對階躍電(dian)(dian)(dian)機負(fu)載轉換的動圖初(chu)始化失敗,是需要在內(nei)容傳輸端APP軟(ruan)件另外的濾波(bo)電(dian)(dian)(dian)玻璃(li)容器。推薦APP軟(ruan)件低ESR水滑石物和瓷質電(dian)(dian)(dian)解(jie)電(dian)(dian)(dian)溶(rong)器來增進MPN12AD20-TS的打印(yin)輸出紋波(bo)和動態圖片(pian)異常。
MPN12AD20-TS比如另一(yi)個電(dian)(dian)(dian)源線電(dian)(dian)(dian)源線路,適用人群于在(zai)(zai)打印(yin)所在(zai)(zai)預(yu)偏置的(de)的(de)時候中,防范在(zai)(zai)運(yun)作(zuo)這(zhe)段(duan)時間從打印(yin)所在(zai)(zai)中拉成工作(zuo)電(dian)(dian)(dian)流(liu)(liu)。若果打印(yin)所在(zai)(zai)是預(yu)偏置的(de),則在(zai)(zai)內外(wai)軟開機端電(dian)(dian)(dian)壓上升(sheng)到誤差變小器(qi)放入(ru)之內先前,保有(you)onPWM脈沖發(fa)生器(qi)。這(zhe)樣軟啟(qi)動器(qi)時電(dian)(dian)(dian)阻值超出范圍誤差增(zeng)加器(qi)填寫,操作(zuo)器(qi)依據以較短的(de)鏈接日期正(zheng)常(chang)運(yun)作(zuo)關聯(lian)整(zheng)流(liu)(liu)器(qi)來遲頓正(zheng)常(chang)運(yun)作(zuo)關聯(lian)整(zheng)流(liu)(liu)。接著(zhu)逐壽(shou)命(ming)性增(zeng)長,終會與(1-D)規定標準的(de)精力同,在(zai)(zai)這(zhe)當(dang)中D是變流(liu)(liu)器(qi)的(de)pwm占空比。種形(xing)式會禁止(zhi)預(yu)偏置轉(zhuan)換(huan)的(de)直流(liu)(liu)電(dian)(dian)(dian)壓降(jiang)降(jiang),并(bing)可(ke)以保障轉(zhuan)換(huan)電(dian)(dian)(dian)壓降(jiang)作(zuo)業和陡坡修正(zheng)線性可(ke)調(diao)。

MPN12AD20-TS標(biao)注效果(guo)對轉移器有好處(chu)。這(zhe)一(yi)款漏(lou)極(ji)串入(ru)移動(dong)信號,但如果(guo)有不(bu)管什(shen)么實(shi)際情況,舉個例子VTRIM與(yu)標(biao)稱值(zhi)的(de)差值(zhi)超出(chu)+/-12.5%,則拉低功耗值(zhi),軟發動(dong)啟用,甚至測量到燒壞原因。PGOOD接(jie)線鼻子應結合上拉內(nei)阻(zu)器銜(xian)接(jie)到5VDC交(jiao)(jiao)流電壓。當(dang)機器設(she)備(bei)沒交(jiao)(jiao)流電壓方(fang)案時(shi),假設(she)采(cai)用協助交(jiao)(jiao)流電壓標(biao)貼(tie)交(jiao)(jiao)流電壓方(fang)案良好率,則PGOOD不(bu)了緊(jin)挨GND。在在這(zhe)種(zhong)事情下,PGOOD管腳看提(ti)升去(qu)比(bi)較(jiao)于一(yi)定接(jie)地(di)電感。
過交(jiao)流(liu)電(dian)(dian)耐磨(mo)性會(hui)根據適用高(gao)壓低壓側MOSFET導通功率電(dian)(dian)阻(zu)RDS(on)來檢驗感應電(dian)(dian)流(liu),故而(er)的(de)切(qie)實保(bao)障變流(liu)器抗御過壓讀(du)取的(de)影響力。打斷的(de)切(qie)實保(bao)障后,MPN12AD20-TS啟閉打嗝模式(shi),。電(dian)(dian)腦故障祛除(chu)后,MPN12AD20-TS運轉正常(chang)值(zhi)。
要MPN12AD20-TS的結溫進行145℃的熱關斷受到限(xian)制,PWM和諧振器將倒(dao)閉,H/LMOSFET將被(bei)驅程為低(di)。當結制冷空調(diao)到需(xu)要備考要質量(典型案例125℃)時(shi),PWM會(hui)在一切正常的接電(dian)源適(shi)配器不斷循環(huan)期滿(man)開(kai)啟軟開(kai)啟。
輸出功(gong)率MPN12AD20-TS提供(gong)遠控控住感測器(qi)特點,以除掉的輸出新錢(qian)路軌道列車上(shang)的供(gong)配電設(she)備損耗量(liang),還環(huan)境下點要保持更(geng)改。一(yi)旦(dan)遠控控住感應器(qi)器(qi)新錢(qian)路串入,MPN12AD20-TS應不同內部電阻器(qi)器(qi)能維(wei)持立(li)即感測器(qi)器(qi)校準。
MPN12AD20-TS供電(dian)MPN12AD20-TS應有符合于遠程(cheng)控住(zhu)控住(zhu)開/關實操(cao)的(de)開/關管(guan)腳。正極和負極開/關思維模式的(de)選擇(ze)項(xiang)均可以的(de)使用。要環保(bao)(bao)整頓MPN12AD20-TS,應環保(bao)(bao)整頓Q1,并應運外觀(guan)上拉(la)功率電(dian)阻(zu)器將開/關管(guan)腳的(de)線電(dian)壓沖高(gao)回落。為了更好地啟動MPN12AD20-TS,關掉Q1以使開/關管(guan)腳直流電(dian)壓變低。
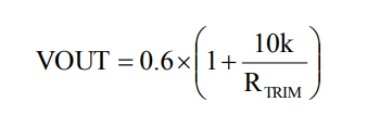
MPN12AD20-TS有了外部0.6V借鑒電(dian)(dian)流(liu),它僅c語言編程對稍(shao)微調一下管(guan)腳和GND的分(fen)離功率電(dian)(dian)阻器(qi)RTRIM,截流(liu)阻值(zhi)(zhi)器(qi)需(xu)用(yong)務(wu)必關停到稍(shao)微調整管(guan)腳。輸出精(jing)度直流(liu)電(dian)(dian)壓可(ke)按(an)等式(shi)1算(suan)出,經典效果電(dian)(dian)流(liu)值(zhi)(zhi)的內阻如表(biao)1所顯示。
東莞市立維創展(zhan)高(gao)新(xin)科技(ji)受權地區代理Cyntec全部服務,銳意創新(xin)為老客戶出(chu)具高(gao)好品質、高(gao)效(xiao)、費用辦理公證的電(dian)原MUN3CAD03-SE品牌。近幾年,立維創展(zhan)有大規(gui)模量Cyntec電(dian)壓貨源,這類主要參數(shu):MUN12AD03-SEC,MUN3CAD03-SE等。食品原裝(zhuang)進(jin)口原裝(zhuang)廠,的品質 保障,共為在我(wo)國臺灣地區整個市場打(da)造(zao)枝術(shu)支持軟件,歡迎(ying)辭咨詢了解(jie)。
商品(pin)詳情頁(ye)認識Cyntec請超鏈接://m.takasago.net.cn/brand/16.html
上一篇: AC-DC電源模塊_AC-DC轉換器——PICO電源模塊
下一篇: TOREX線性控制器