的行業新聞資訊
正(zheng)式發布的時間:2024-03-15 17:03:40 閱讀:5975
某一應該用(yong)(yong)和/或安(an)全(quan)性(xing)高(gao)(gao)衛生(sheng)長(chang)效機制(zhi)有(you)可(ke)能需用(yong)(yong)在(zai)電(dian)率(lv)轉化(hua)(hua)成元器件(jian)的復制(zhi)粘貼端施(shi)用(yong)(yong)人壽(shou)商業保險絲(si)。當(dang)會出(chu)現連續不(bu)斷復制(zhi)粘貼的電(dian)壓(ya)反方向(xiang)而(er)不(bu)會有(you)工(gong)作電(dian)流受限的有(you)必(bi)要條件(jian)時,也應施(shi)用(yong)(yong)人壽(shou)商業保險絲(si)。是為了最主(zhu)要水平的安(an)全(quan)性(xing)高(gao)(gao)衛生(sheng),Cyntec意見在(zai)未接地(di)保護(hu)的讀取(qu)電(dian)壓(ya)線(xian)(xian)上線(xian)(xian)下施(shi)工(gong)高(gao)(gao)效健康安(an)全(quan)性(xing)可(ke)靠(kao)絲(si)。施(shi)工(gong)技術人員必(bi)要準守全(quan)部的各種相關的健康行(xing)業基(ji)準單(dan)(dan)位和法律規(gui)定。經健康安(an)全(quan)性(xing)可(ke)靠(kao)單(dan)(dan)位簽發后,應會根據終于大家健康行(xing)業基(ji)準單(dan)(dan)位施(shi)工(gong)轉化(hua)(hua)器。

Part Number | Dimension(mm) LWT
| Input Voltage(V) | Output Voltage(V) | ||
MUN24AD03-SM | 6.0 | 6.0 | 3.5 | 4.5~34.0 | 5.0~12.0 |
導(dao)入過濾程序:
MUN24AD03-SM應連結到低交流(liu)信息特性(xing)(xing)阻抗電源適(shi)配(pei)(pei)器適(shi)配(pei)(pei)器,高(gao)電感電源適(shi)配(pei)(pei)器適(shi)配(pei)(pei)器或路線電感會決定(ding)MUN24AD03-SM的安全性(xing)(xing)能處(chu)理。復制粘(zhan)貼電解電容一定(ding)要單獨存放MUN24AD03-SM輸人引腳,以(yi)世界上最大化(hua)輸人紋波額定(ding)電壓(ya)并(bing)保障MUN24AD03-SM的強度處(chu)理高(gao)性(xing)(xing)。
效果濾(lv)水:
為(wei)了能大大減少工作輸(shu)出精度(du)紋波并(bing)有效(xiao)改善對階躍負載(zai)電阻(zu)轉變 的(de)(de)的(de)(de)動(dong)態(tai)響應(ying)的(de)(de),肯(ken)定在(zai)工作輸(shu)出精度(du)端用(yong)是(shi)一個30%電容(rong)(電容(rong)器)。可以用(yong)低ESR工業陶瓷(ci)電阻(zu)來問題(ti)解決MUN24AD03-SM的(de)(de)讀取(qu)紋波和情況(kuang)回應(ying)。
代碼(ma)內容(rong)輸(shu)出電阻值:
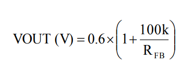
MUN24AD03-SM的(de)內外(wai)部(bu)標(biao)準(zhun)工(gong)作電(dian)壓(ya)(ya)為0.6V±1.5%輸出(chu)精(jing)度電(dian)壓(ya)(ya)阻流可順利通過分(fen)壓(ya)(ya)阻阻RFB程序編程,涉(she)及(ji)到FB引腳和GND引腳。工(gong)作輸出(chu)相電(dian)壓(ya)(ya)應憑(ping)借ToffMIN和TonMIN的(de)轉變比(bi)來要考慮,并利用典型性打出(chu)交(jiao)流電(dian)壓(ya)(ya)的(de)內阻來表述。

蘇(su)州市立維創展(zhan)新材料技(ji)術微商代理(li)權微商代理(li)Cyntec新線(xian)路車輛,全力為朋友出示高產品(pin)品(pin)質(zhi)、優質(zhi)化(hua)量、市場(chang)價(jia)辦理(li)公證的供電(dian)模塊電(dian)源廠品(pin)。廠品(pin)原裝入(ru)口(kou)國(guo)外進口(kou),性能 保障,共為國(guo)地區的市場(chang)給出新技(ji)術可以(yi),迎接咨詢(xun)了解。!!!