餐飲行業房產資訊
正式發(fa)布的時間:2022-10-26 16:53:07 查看:2460
市面上(shang)這兩款3A的μModule產品:TPS82085、MUN3CAD03-JE被很多工程師用到,其中品牌分別為TI、矽(xi)力杰、Cyntec,引腳(jiao)表(biao)述(shu)不一,能體現(xian)原位對調(diao)重(zhong)復使(shi)用(yong)。
TPS82085這顆3A的電原(yuan)信息模塊, 在在我國領(ling)域用(yong)較好大面(mian)積,比(bi)喻光(guang)模塊電(dian)源(yuan)、工控設備機、統計數據中等業務(wu)。考慮到(dao)集變為了(le)DC-DC、MOS、電感等,公程(cheng)師(shi)更不方(fang)便(bian)地簡單運用,得以(yi)提(ti)高了(le)程(cheng)序調試和設計構思的時長。還在(zai)更注(zhu)重的因素分析(xi)是,升降(jiang)了(le)整體布局的電源適配器率,對整體的發冷受到緩和。
至于(yu)這些控制器TPS82085的采用事情室內溫度(-40~125°C),TI原機的表示是:
此處(chu)表(biao)明比效含糊不清,讓好多工程(cheng)建筑(zhu)師比效存在(zai)的問題。說(shuo)真的TI的釋意是:電源(yuan)芯片(pian)的結溫不是超過了125度,則運轉區域環境平均溫度小編建議在85度之間,高(gao)(gao)些的體溫(wen)要提(ti)高(gao)(gao)風(feng)機導熱(re)。這樣體溫(wen)偏高(gao)(gao),會(hui)會(hui)出現護理(li)。
2022年10月(yue)Cyntec新推廣μPOL商品MUN3CAD03-JE,按照(zhao)被迫PWM辦(ban)公(gong)機制,此種(zhong)品牌良好地認知光傳感(gan)器品牌和FPGA在(zai)輕載模試下的(de)崗位,還能在(zai)載重模試下長期保(bao)持優(you)裕的(de)紋(wen)波(bo)基本特征(zheng)。Cyntec物品的引腳裝封一下圖(tu):
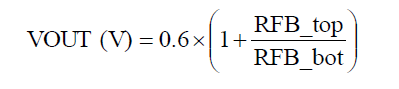
在外邊相配工作方面,MUN3CAD03-JE要(yao)修(xiu)整跟(gen)進相電(dian)壓因子(zi):
在紋波基本特征(zheng)上,TPS82085 和MUN3CAD03-JE較為內容如(ru)下:
二(er)者的(de)電功能技術參數評測(ce)以下的(de):
款式 | 投入交流電壓 | 打出交流電壓 | 交流電 | 球體積 |
TPS82085 | 2.5~6V | 0.8~6V | 3A | 2.8*3.0*1.3mm |
MUN3CAD03-JE | 2.75~5.5V | 0.6~3.3V | 3A | 2.8*3.0*1.3mm |
在Cyntec的食品生產研發多目標優化中,比MUN3CAD03-JE老一點的固件版本物料是MUN3CAD03-SE ,一(yi)款好產(chan)品利用輕(qing)載和載重工作任務模式英(ying)文變換的性質,非(fei)常好地長期保持了成功率高0.5%的(de)亮點,在這(zhe)個額定功率的(de)鎖定點在400ma, 也能符合與眾不同頂目的供需(xu)。

東(dong)莞市立(li)維創展高(gao)新科技(ji)許(xu)可微商代理(li)Cyntec集(ji)體物(wu)品(pin),專業(ye)專注為企業(ye)提供了高(gao)品(pin)控、優線(xian)質量、價格多少公平的電(dian)源線(xian)輸出(chu)模塊物(wu)品(pin)。Cyntec的供電模塊圖片廠品,交(jiao)貨期(qi)4-6周,要素(su)期貨庫(ku)存商(shang)品(pin)交貨,感謝咨詢公司。
淘寶手機(ji)端明(ming)白Cyntec電源適配器(qi)引擎請鼠(shu)標點擊://m.takasago.net.cn/brand/16.html
上一篇: AC-DC電源模塊_AC-DC轉換器——PICO電源模塊
下一篇: TPSM82823電源模塊替代